Examination Rules

Rules and Regulations for online degree examinations

In the interest of fairness and academic integrity, you are required to follow the rules given below during all online examinations. Failure to comply may lead to immediate disqualification, cancellation of results, and/or disciplinary action.

I - General Exam Guidelines

  • Exam must be taken from laptop or desktop only.
  • Do not attempt the exam using an office laptop, office VPN, or corporate network.
  • It is recommended to use the same device used for the mock exam to avoid unexpected issues such as firewall restrictions, VPN interference, etc.
  • You must take the exam from a quiet, stationary, indoor location (e.g. study room or home).
  • No exams while travelling, in transit, or at public places/events/functions.
  • A stable internet connection is your responsibility; arrange backup (such as hotspot) if required.
  • Keep your admit card/student ID ready for identity verification before the exam begins.
  • In the event of suspicious activity, the student will receive up to three warnings. Thereafter, the University reserves the right to decide whether the student can continue with the exam or not.

II - Camera & Proctoring

  • Your webcam and microphone must remain ON at all times during the exam.
  • Ensure your face, both ears, both hands, and the surrounding workspace are clearly
    visible.
  • No headsets, earphones, or Bluetooth devices are allowed during the exam.
  • The camera should be positioned at eye level; you should be seated upright throughout.
  • In case of descriptive answers, you are allowed to use mobile phone only for sending the photo of the answer, but you must keep the mobile visible on the table during your exam.

III - Dress Code

  • Wear smart casual or formal clothing appropriate for an official setting.
  • Avoid sleeveless clothing, hoodies, caps, hats, or sunglasses (unless worn for medical or
    religious reasons) or night-wear.
  • Your hair and face must remain uncovered and visible.

IV - Exam Environment

  • The desk must be clear of all books, papers, notes, mobile phones, smart devices, or
    external storage devices unless permitted.
  • No other person should enter or be present in the room during the exam.
  • The background must be plain and free from distractions.

V - Prohibited Conduct

  • Do not read out questions or answers aloud; this may be flagged as suspicious behaviour.
  • No singing, humming, or speaking during the exam.
  • No switching between screens, tabs, or applications once the exam has started.
  • No recording, copying, or sharing exam content in any form.
  • Do not move around during the exam. Stay seated in your designated exam area for the
    entire duration.
  • Do not eat or drink during the duration of the examination (drinking water is allowed from
    a transparent bottle)

VI - Timing

  • Log in 30 minutes prior to the start time to complete verification and system checks.
  • Late login beyond 30 minutes after the start time will not be allowed.
  • The exam will auto-submit when the allotted time ends; plan accordingly.

VII - If Technical Issues Occur

  • Contact the helpline immediately and document the issue (e.g. screenshot errors).
  • Do not attempt to restart or exit the exam without instruction from the proctor.

VIII - Best Practices

  • Perform a system check well before exam day: test webcam, mic, browser, and internet.
  • Choose a quiet location with good lighting and uninterrupted power supply.
  • Inform family members to avoid interruptions during your exam window.

We count on your co-operation to uphold the values of SASTRA Online and ensure the success of the examination process.

Out of a total of 100 marks allotted for each course 30 marks are allotted for continuous internal assessment and 70 marks for the end-semester examination.

A letter grade, corresponding to the marks secured by the student is awarded for each course for which a student has registered. On obtaining a pass grade, the student accumulates the course credits as earned credits. A student’s performance is measured by the number of credits that the student has earned and the weighted grade point average.

Course-wise grades are awarded to the students by adopting the following scheme, based on the aggregate marks scored by the student in the course (which includes internal assessment marks and end-semester examination marks

Range
Letter Grade
Grade Point
Description of Performance
≥91%
S
10
Outstanding
≥80% and ≤ 90%
A+
9
Excellent
≥70% and < 80%
A
8
Very Good
≥60% and < 70%
B
7
Good
≥50% and < 60%
C
6
Satisfactory
≥40% and < 50%
D
5
Pass
< 40%
F
0
Fail
Absent
E
0
Exposure

A candidate is declared to have passed in a course if he / she secures ‘D’ grade based on continuous internal assessment and the end-semester examination marks put together

A student should necessarily register for the end-semester examinations in all the regular and applicable arrear courses

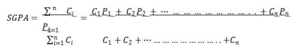
The average performance of a student in a particular semester is expressed as Semester Grade Point Average (SGPA). It is calculated for each semester as follows:

Let `Ci’ be the credit assigned to the ith course,

Let `Pi’ be the grade point secured in the ith course,

Let `n’ be the number of courses for which the student has registered for the examinations,

formula-img

Calculation of Cumulative Grade Point Average (CGPA) CGPA is calculated from SGPA of the current and previous semesters. Hence, it is an indicator of the performance of a student over the period of study. CGPA is calculated as follows:

Let ‘(SGPA)i‘ be the SGPA of a student in ith semester,

Let ‘Ni’ be the number of credits taken by the student in ith semester,

Let ‘k’ be the number of semesters that a student has undergone,

formula-img2

IX - Classification of Results

At the end of the programme, the final results will be classified as follows: For the award of First Class with Distinction, the student must have passed all the courses in the first attempt within the prescribed duration:

C.G.P.A
Diploma / U.G. / P.G.
7.5 and above
First Class with Distinction
6.0 and above, but below 7.5
First Class
4.0 and above, but below 6.0
Pass

X - Requirements For Successful Completion & Earning Credits

Students must attend every online classes. However, in order to provide for sickness and such other contingencies, a minimum attendance percentage has been prescribed. It is desirable to have 75% of attendance during the semester/year. Percentage of attendance of a student will be the number of periods attended divided by the total number of periods actually conducted from the date of his / her admission and multiplied by 100

XI - Saving Clause / Authority

The Academic Council reserves the right to alter or amend or repeal or annul any or all of the rules and regulations.

XII - Corporate Collaboration Learners

For learners participating in corporate collaborations, the terms outlined in the agreement with the sponsoring company will be applicable. Students enrolled under a specific regulation are required to adhere to the same academic pattern until the completion of the final semester. In the event of a break in their studies, the re-registration policy will be enforced, which may impact access to study materials and eligibility for the final semester examination.

For more information, you can reach out to helpdeskol@dde.sastra.ac.in